Download App
Google Android
Apple iOS
Huawei
English
English
Malay
Guest
Login
Register
Home
Quiz
Battle
Practice
Class
Classes List
Timetable
Assignments
Learn
Learning Hub
Quick Notes
Videos
Experiments
Textbooks
Login
Register
Download App
Google Android
Apple iOS
Huawei
EN
MS
Chemistry
Practice
Chemistry
Voltaic Cell (5)
Chemistry
Question
Voltaic Cell (5)
0
Not quite remember
0
I easily remember
0
%
Report a Problem
×
There is something wrong with this question.
Question Text
Question Graphic
Answer Options
Incorrect Answer
Explanation Text
Explanation Graphic
Inaccurate Fact
Additional Info and Comment
Submit Report
The voltage reading, E° cell for the Daniell cell
Report a Problem
×
There is something wrong with this question.
Question Text
Question Graphic
Answer Options
Incorrect Answer
Explanation Text
Explanation Graphic
Inaccurate Fact
Additional Info and Comment
Submit Report
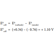
Formula to determine the cell voltage, E°cell
Report a Problem
×
There is something wrong with this question.
Question Text
Question Graphic
Answer Options
Incorrect Answer
Explanation Text
Explanation Graphic
Inaccurate Fact
Additional Info and Comment
Submit Report
The voltage of a voltaic cell by using different pairs of metals
The greater the difference of the value of standard electrode potential of pairs of metals, the greater the voltage reading
Report a Problem
×
There is something wrong with this question.
Question Text
Question Graphic
Answer Options
Incorrect Answer
Explanation Text
Explanation Graphic
Inaccurate Fact
Additional Info and Comment
Submit Report
Operational definition – Chemical cell
Voltmeter shows a reading when different types of pairs of metals are dipped into electrolytes
Report a Problem
×
There is something wrong with this question.
Question Text
Question Graphic
Answer Options
Incorrect Answer
Explanation Text
Explanation Graphic
Inaccurate Fact
Additional Info and Comment
Submit Report
The cell notation for the following voltaic cell: Sn2+ / Sn and Mg2+/Mg
Mg(s) | Mg2+(aq) || Sn2+(aq) | Sn(s)
Report a Problem
×
There is something wrong with this question.
Question Text
Question Graphic
Answer Options
Incorrect Answer
Explanation Text
Explanation Graphic
Inaccurate Fact
Additional Info and Comment
Submit Report
The cell notation for the following voltaic cell: Cl2 / Cl− and MnO4 −/Mn2+
Pt(p) | Cl−(aQ) , Cl2 (aq) || MnO4−(aq) , Mn2+(aq) | Pt(p)
Report a Problem
×
There is something wrong with this question.
Question Text
Question Graphic
Answer Options
Incorrect Answer
Explanation Text
Explanation Graphic
Inaccurate Fact
Additional Info and Comment
Submit Report
The negative terminal for arrangement of the voltaic for a pair of argentum, Ag and ferum, Fe
Negative terminal: Iron
Report a Problem
×
There is something wrong with this question.
Question Text
Question Graphic
Answer Options
Incorrect Answer
Explanation Text
Explanation Graphic
Inaccurate Fact
Additional Info and Comment
Submit Report
The positive terminal for arrangement of the voltaic for a pair of argentum, Ag and ferum, Fe
Positive terminal : Argentum
Report a Problem
×
There is something wrong with this question.
Question Text
Question Graphic
Answer Options
Incorrect Answer
Explanation Text
Explanation Graphic
Inaccurate Fact
Additional Info and Comment
Submit Report
The cell notation for arrangement of the voltaic for a pair of argentum, Ag and ferum, Fe
Fe(p) | Fe2+(aq) || Ag+(aq) | Ag(p)
Report a Problem
×
There is something wrong with this question.
Question Text
Question Graphic
Answer Options
Incorrect Answer
Explanation Text
Explanation Graphic
Inaccurate Fact
Additional Info and Comment
Submit Report
The half equations for oxidation reaction for arrangement of the voltaic for a pair of argentum, Ag and ferum, Fe
Half oxidation equation : Fe → Fe2+ + 2e−
Not quite remember
I easily remember
Show answer
Previous
Show answer
Show question
Next
Report this flashcard
Voltaic Cell (5)
Practice Flashcard Now
You've practice this deck
View answer
Return to the Chemistry flashcard list
Quiz
View video m
Notes
Account