Download App
Google Android
Apple iOS
Huawei
English
English
Malay
Guest
Login
Register
Home
Quiz
Battle
Practice
Class
Classes List
Timetable
Assignments
Learn
Learning Hub
Quick Notes
Videos
Experiments
Textbooks
Login
Register
Download App
Google Android
Apple iOS
Huawei
EN
MS
Additional Mathematics
Practice
Additional Mathematics
Integration as the inverse of differentiation (1)
Additional Mathematics
Question
Integration as the inverse of differentiation (1)
0
Not quite remember
0
I easily remember
0
%
Report a Problem
×
There is something wrong with this question.
Question Text
Question Graphic
Answer Options
Incorrect Answer
Explanation Text
Explanation Graphic
Inaccurate Fact
Additional Info and Comment
Submit Report
Integration
The reverse process of differentiation
Report a Problem
×
There is something wrong with this question.
Question Text
Question Graphic
Answer Options
Incorrect Answer
Explanation Text
Explanation Graphic
Inaccurate Fact
Additional Info and Comment
Submit Report
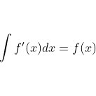
If d/dx[f(x)] = f'(x)
then the integral of f'(x) with respect to x is ∫f'(x) dx = f(x)
Report a Problem
×
There is something wrong with this question.
Question Text
Question Graphic
Answer Options
Incorrect Answer
Explanation Text
Explanation Graphic
Inaccurate Fact
Additional Info and Comment
Submit Report
Inverse operations
Integration finds the accumulated change to retrieve the original function
Report a Problem
×
There is something wrong with this question.
Question Text
Question Graphic
Answer Options
Incorrect Answer
Explanation Text
Explanation Graphic
Inaccurate Fact
Additional Info and Comment
Submit Report
Concept of antiderivative
A function F(x) whose derivative is equal to f(x), representing the inverse operation of differentiation
Report a Problem
×
There is something wrong with this question.
Question Text
Question Graphic
Answer Options
Incorrect Answer
Explanation Text
Explanation Graphic
Inaccurate Fact
Additional Info and Comment
Submit Report
The fundamental theorem of calculus
Integration of a derivative yields the antiderivative
Report a Problem
×
There is something wrong with this question.
Question Text
Question Graphic
Answer Options
Incorrect Answer
Explanation Text
Explanation Graphic
Inaccurate Fact
Additional Info and Comment
Submit Report
Definition of integration
Finding the cumulative sum or total accumulation of a function over a specified interval
Report a Problem
×
There is something wrong with this question.
Question Text
Question Graphic
Answer Options
Incorrect Answer
Explanation Text
Explanation Graphic
Inaccurate Fact
Additional Info and Comment
Submit Report
Analytical techniques in integration
Substitution, integration by parts, partial fractions, and trigonometric identities, depending on the complexity of the function
Report a Problem
×
There is something wrong with this question.
Question Text
Question Graphic
Answer Options
Incorrect Answer
Explanation Text
Explanation Graphic
Inaccurate Fact
Additional Info and Comment
Submit Report
Geometric interpretation in integration
Finding the area under the curve of a function within a given interval
Report a Problem
×
There is something wrong with this question.
Question Text
Question Graphic
Answer Options
Incorrect Answer
Explanation Text
Explanation Graphic
Inaccurate Fact
Additional Info and Comment
Submit Report
Practical applications of integration
Physics, engineering, economics, and biology, where it is used to calculate quantities such as displacement, work done, volume, and area
Report a Problem
×
There is something wrong with this question.
Question Text
Question Graphic
Answer Options
Incorrect Answer
Explanation Text
Explanation Graphic
Inaccurate Fact
Additional Info and Comment
Submit Report
Integration formula
Not quite remember
I easily remember
Show answer
Previous
Show answer
Show question
Next
Report this flashcard
Integration as the inverse of differentiation (1)
Practice Flashcard Now
You've practice this deck
View answer
Return to the Additional Mathematics flashcard list
Quiz
View video m
Notes
Account