Download App
Google Android
Apple iOS
Huawei
English
English
Malay
Guest
Login
Register
Home
Quiz
Battle
Practice
Class
Classes List
Timetable
Assignments
Learn
Learning Hub
Quick Notes
Videos
Experiments
Textbooks
Login
Register
Download App
Google Android
Apple iOS
Huawei
EN
MS
Chemistry
Practice
Chemistry
Cleaning Agents (5)
Chemistry
Question
Cleaning Agents (5)
0
Not quite remember
0
I easily remember
0
%
Report a Problem
×
There is something wrong with this question.
Question Text
Question Graphic
Answer Options
Incorrect Answer
Explanation Text
Explanation Graphic
Inaccurate Fact
Additional Info and Comment
Submit Report
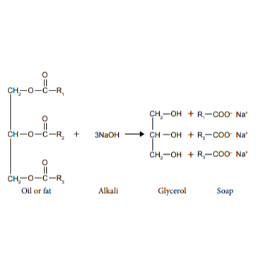
The product that will result from the alkaline hydrolysis of triglycerides
Will produce glycerol and soap (salts of fatty acids)
Report a Problem
×
There is something wrong with this question.
Question Text
Question Graphic
Answer Options
Incorrect Answer
Explanation Text
Explanation Graphic
Inaccurate Fact
Additional Info and Comment
Submit Report
Saponication reaction to produce glycerol and soap (fatty acid salts)
Report a Problem
×
There is something wrong with this question.
Question Text
Question Graphic
Answer Options
Incorrect Answer
Explanation Text
Explanation Graphic
Inaccurate Fact
Additional Info and Comment
Submit Report
Preparation of Detergents
Detergents are usually made from petroleum fractions and sulphuric acid, H2SO4
Report a Problem
×
There is something wrong with this question.
Question Text
Question Graphic
Answer Options
Incorrect Answer
Explanation Text
Explanation Graphic
Inaccurate Fact
Additional Info and Comment
Submit Report
Two processes to produce detergent
- Sulphonation - Neutralisation
Report a Problem
×
There is something wrong with this question.
Question Text
Question Graphic
Answer Options
Incorrect Answer
Explanation Text
Explanation Graphic
Inaccurate Fact
Additional Info and Comment
Submit Report
Example of detergent (1)
Sodium Alkylbenzene Sulphonate
Report a Problem
×
There is something wrong with this question.
Question Text
Question Graphic
Answer Options
Incorrect Answer
Explanation Text
Explanation Graphic
Inaccurate Fact
Additional Info and Comment
Submit Report
Example of detergent (2)
Sodium Alkyl Sulphate
Report a Problem
×
There is something wrong with this question.
Question Text
Question Graphic
Answer Options
Incorrect Answer
Explanation Text
Explanation Graphic
Inaccurate Fact
Additional Info and Comment
Submit Report
Step 1 in preparation of Sodium Alkylbenzene Sulphonate
Sulphonation of alkylbenzene: Alkylbenzene reacts with concentrated sulphuric acid, H2SO4 to form alkylbenzene sulphonic acid
Report a Problem
×
There is something wrong with this question.
Question Text
Question Graphic
Answer Options
Incorrect Answer
Explanation Text
Explanation Graphic
Inaccurate Fact
Additional Info and Comment
Submit Report
Step 2 in preparation of Sodium Alkylbenzene Sulphonate
Neutralisation: Alkylbenzene sulphonic acid will be neutralised by sodium hydroxide, NaOH solution to produce alkylbenzene sulphonate salt, which is detergent
Report a Problem
×
There is something wrong with this question.
Question Text
Question Graphic
Answer Options
Incorrect Answer
Explanation Text
Explanation Graphic
Inaccurate Fact
Additional Info and Comment
Submit Report
Step 1 in preparation of Sodium Alkyl Sulphate
Sulphonation of alcohol: Long chain alcohol reacts with concentrated sulphuric acid, H2SO4 to form alkyl sulphonic acid
Report a Problem
×
There is something wrong with this question.
Question Text
Question Graphic
Answer Options
Incorrect Answer
Explanation Text
Explanation Graphic
Inaccurate Fact
Additional Info and Comment
Submit Report
Step 2 in preparation of Sodium Alkyl Sulphate
Neutralisation: Alkyl sulphonic acid will be neutralised by sodium hydroxide, NaOH solution to produce sodium alkyl sulphate, which is detergent
Not quite remember
I easily remember
Show answer
Previous
Show answer
Show question
Next
Report this flashcard
Cleaning Agents (5)
Practice Flashcard Now
You've practice this deck
View answer
Return to the Chemistry flashcard list
Quiz
View video m
Notes
Account